Chủ Nhật, Tháng năm 3, 2026
HomeKiến thứcĐộ co giãn của cầu theo giá là gì? Bài tập và...

Độ co giãn của cầu theo giá là gì? Bài tập và ví dụ cụ thể

Share

Theo quy luật cung cầu, khi giá sản phẩm thay đổi thì nhu cầu tiêu thụ sản phẩm cũng biến đổi theo. Chính vì thế, độ co giãn của cầu theo giá ra đời là thuật ngữ phản ánh mối quan hệ trong mức thay đổi giữa giá cả và lượng cầu tiêu thụ. Hệ số co giãn của cầu theo giá là gì? Hãy để Tamnhindautu lý giải chi tiết hơn về hệ số kinh tế quan trọng này nhé!

Độ co giãn của cầu theo giá là gì?

Độ co giãn của cầu theo giá (Price Elasticity of Demand) là hệ số đo lường mức độ nhạy cảm trong sự biến đổi của cầu khi giá có sự thay đổi. Theo luật cầu, lượng cầu giảm đối với hầu hết các mặt hàng khi giá tăng, nhưng nó sẽ giảm nhiều hơn ở một số mặt hàng nhất định.

price elasticity là gì? Độ co giãn của cầu theo giá là gì?
Price Elasticity Of Demand là gì? – Khái niệm độ co giãn của cầu theo giá

Ví dụ về độ co giãn của cầu theo giá: Giả sử một doanh nghiệp đang bán nước đóng chai với giá 2 USD mỗi chai, và trung bình mỗi tháng bán được 1.000 chai. Sau khi doanh nghiệp quyết định tăng giá bán mỗi chai lên 3 USD (tăng 1 USD), họ quan sát thấy số lượng chai nước bán ra giảm xuống còn 800 chai mỗi tháng.

Độ co giãn của cầu theo giá trong trường hợp này được tính bằng cách so sánh tỷ lệ phần trăm thay đổi của lượng cầu với tỷ lệ phần trăm thay đổi của giá.

  • Tỷ lệ phần trăm thay đổi của giá: (3 – 2) / 2 = 50%.
  • Tỷ lệ phần trăm thay đổi của lượng cầu: (800 – 1000) / 1000 = -20%.

Như vậy, độ co giãn của cầu theo giá là:

Hệ số co giãn của cầu theo giá =-20% / 50%= -0.4

Điều này cho thấy cầu đối với nước đóng chai trong trường hợp này là cầu không co giãn, tức là khi giá tăng lên 50%, lượng cầu chỉ giảm 20%. Điều này có nghĩa là người tiêu dùng vẫn mua nước dù giá tăng, có thể do nhu cầu cơ bản của sản phẩm.

Công thức tính độ co giãn của cầu theo giá

Công thức tính

Công thức tính độ co giãn của cầu theo giá được áp dụng như sau:

Hệ số co giãn của cầu theo giá = Phần trăm thay đổi trong lượng cầu/ Phần trăm thay đổi trong giá bán.

Lưu ý:

  • Lượng cầu tiêu thụ của một sản phẩm, dịch vụ sẽ tỷ lệ nghịch với giá bán của chúng. Do vậy, công thức hệ số co giãn của cầu theo giá luôn có phần trăm thay đổi của lượng cầu trái dấu với phần trăm thay đổi giá cả. Đồng thời, hệ số kết quả luôn mang giá trị âm.
  • Hệ số co giãn của cầu với giá càng lớn càng chứng tỏ cầu cầu phản ứng mạnh mẽ với giá.
Công thức tính độ co giãn của cầu theo giá
Công thức độ co giãn của cầu theo giá

Ví dụ: Giả sử giá của sản phẩm A tăng 15% dẫn đến lượng tiêu thụ giảm 45%. Áp dụng công thức tính hệ số co giãn của cầu theo giá, ta có:

Hệ số co giãn của cầu = -45%/ 15% = -3.

Như vậy, sự thay đổi về lượng cầu tiêu thụ của sản phẩm A gấp 3 lần sự điều chỉnh của giá.

Phương pháp tính

Dưới đây là 2 cách tính hệ số co giãn của cầu theo giá:

Co giãn điểm

Co giãn điểm là sự co giãn xảy ra tại một điểm cụ thể trên đường cầu. Phương pháp này được áp dụng để tính toán sự thay đổi rất nhỏ của các yếu tố ảnh hưởng đến lượng cầu. Công thức tính hệ số co giãn của cầu theo giá tại điểm cân bằng được xác định như sau:

Phương pháp tính cầu co giãn điểm

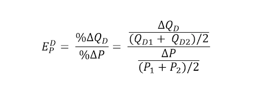
Co giãn khoảng

Co giãn khoảng là sự co giãn giữa hai điểm trên đường cầu. Phương pháp này được áp dụng khi có sự thay đổi lớn của các yếu tố ảnh hưởng đến lượng cầu.

Công thức tính hệ số co giãn giữa hai điểm (P1, Q1) và (P2, Q2) được áp dụng như sau:

Phương pháp tính cầu co giãn khoảng

Có thể viết lại công thức tính trên thành biểu thức sau:

Công thức tính độ co giãn khoảng của cầu

Trong đó:

Giải thích công thức tính độ co giãn

Cách phân loại độ co giãn của cầu theo giá

Có 5 cách phân loại độ co giãn của cầu theo giá, cụ thể:

Cầu co giãn ít

Cầu co giãn ít (cầu kém co giãn) khi trị giá tuyệt đối của hệ số co giãn của cầu với giá nhỏ hơn 1. Tức là khi giá cả thay đổi 1%, lượng cầu chỉ thay đổi ít hơn 1%. Cầu co giãn ít được minh họa bằng một đường cầu dốc trên biểu đồ.

Ví dụ về cầu có giãn ít có thể là các sản phẩm và dịch vụ sau:

  • Điện: Dù giá điện tăng, người tiêu dùng vẫn phải tiếp tục sử dụng vì điện là nhu cầu thiết yếu hàng ngày, không thể thay thế dễ dàng.
  • Nước sạch: Tương tự như điện, nước sạch là nhu cầu cơ bản, khó có sản phẩm thay thế.
  • Xăng dầu: Dù giá xăng dầu biến động, các phương tiện giao thông vẫn phải sử dụng, đặc biệt là trong những khu vực không có phương tiện công cộng thay thế.
  • Thuốc chữa bệnh: Nhiều loại thuốc đặc trị mà người bệnh cần phải dùng không thể thay thế, do đó cầu về chúng ít nhạy cảm với giá.
  • Lương thực cơ bản: Gạo, bột mì, muối… là những mặt hàng thực phẩm cơ bản mà người tiêu dùng vẫn mua ngay cả khi giá tăng.

Những mặt hàng này đều có cầu co giãn ít vì chúng là nhu cầu thiết yếu và không dễ dàng thay thế trong cuộc sống hàng ngày.

Cầu co giãn theo giá

Cầu co giãn tương đối theo giá khi trị giá tuyệt đối hệ số co giãn của cầu với giá lớn hơn 1. Tức là khi điều chỉnh thị giá 1% thì cầu tiêu thụ cho sản phẩm này thay đổi nhiều hơn 1%. Cầu co giãn tương đối theo giá được biểu diễn bởi một đường cầu thoải trên biểu đồ.

Ví dụ về cầu co giãn theo giá:

  • Chanh và quất: Nếu giá chanh tăng cao, người tiêu dùng có thể dễ dàng chuyển sang mua quất vì cả hai đều có thể được sử dụng trong nấu ăn hoặc pha nước uống với công dụng tương tự nhau.
  • Thịt lợn và thịt bò: Khi giá thịt lợn tăng, người tiêu dùng có thể chọn mua thịt bò thay thế nếu giá thịt bò hợp lý hơn, hoặc ngược lại.
  • Điện thoại Samsung và iPhone: Nếu giá của một trong hai dòng sản phẩm này tăng quá cao, người tiêu dùng có thể chọn dòng sản phẩm còn lại. Cả hai đều là smartphone cao cấp với các tính năng tương tự, nên có thể thay thế cho nhau trong quyết định mua sắm của người tiêu dùng.
  • Cà phê và trà: Nếu giá cà phê tăng, một số người tiêu dùng có thể chọn uống trà thay thế, vì cả hai đều là đồ uống phổ biến có thể mang lại cảm giác tỉnh táo vào buổi sáng.
  • Bánh mì và cơm: Nếu giá bánh mì tăng, người tiêu dùng có thể chọn ăn cơm thay vì bánh mì, đặc biệt là trong những bữa ăn hàng ngày, vì cả hai đều là nguồn cung cấp tinh bột chính.

Những sản phẩm này có cầu co giãn theo giá vì người tiêu dùng có nhiều sự lựa chọn thay thế, dẫn đến việc cầu giảm mạnh khi giá tăng.

Cầu co giãn đơn vị

Cầu co giãn đơn vị khi hệ số co giãn cầu theo giá bằng 1. Tức là, lượng cầu trên thị trường thay đổi đúng bằng 1% khi giá cả điều chỉnh 1%. Trường hợp này chỉ tồn tại trên lý thuyết và rất hiếm xảy ra trong thực tế.

Cầu co giãn đơn vị

Cầu hoàn toàn không co giãn

Cầu hoàn toàn không co giãn nếu tính được hệ số co giãn bằng 0. Tức là dù giá có điều chỉnh tăng/ giảm bao nhiêu phần trảm thì nhu cầu của người dùng luôn không thay đổi. Tuy nhiên, thị trường trong thực tế là thị trường cạnh tranh nên các hàng hóa, dịch vụ đều có sản phẩm thay thế.

Cầu hoàn toàn không co giãn

Cầu hoàn toàn không co giãn được biểu diễn bằng đường thẳng song song với trục tung trên đồ thị.

Ví dụ về cầu hoàn toàn không co giãn: có thể kể đến các sản phẩm thiết yếu mà không có sản phẩm thay thế, như vắc-xin, thuốc chữa bệnh đặc trị, hoặc sản phẩm độc quyền. Dù giá cả có tăng hay giảm, nhu cầu của người tiêu dùng đối với những mặt hàng này vẫn không thay đổi do tính chất quan trọng và không thể thay thế của chúng.

Cầu co giãn hoàn toàn

Cầu co giãn hoàn toàn xảy ra khi giá luôn luôn không đổi với mọi lượng cầu thay đổi. Khi này, hệ số co giãn bằng ∞ vì mẫu số có giá trị bằng 0.

Cầu co giãn hoàn toàn

Cầu co giãn hoàn toàn được minh hoạ bởi đồ thị có đường thẳng song song với trục hoành.

Ví dụ:

  • Quần áo thời trang: Trong ngành công nghiệp thời trang, nếu một thương hiệu tăng giá quá cao, người tiêu dùng có thể dễ dàng chuyển sang mua sản phẩm từ các thương hiệu khác vì thị trường quần áo rất cạnh tranh và có nhiều lựa chọn thay thế với kiểu dáng, chất lượng tương tự.
  • Giày dép: Tương tự như quần áo, thị trường giày dép cũng rất đa dạng và cạnh tranh. Nếu một nhãn hiệu giày dép tăng giá, người tiêu dùng có thể chuyển sang mua giày của nhãn hiệu khác có mức giá phù hợp hơn, đặc biệt khi các sản phẩm này không khác biệt nhiều về kiểu dáng và chất lượng.
  • Sản phẩm điện tử tiêu dùng phổ thông: Ví dụ như tai nghe, bàn phím, chuột máy tính. Nếu một nhà sản xuất tăng giá các sản phẩm này, người tiêu dùng có thể dễ dàng chuyển sang các thương hiệu khác có tính năng tương tự nhưng giá rẻ hơn.
  • Đồ nội thất phổ thông: Trong trường hợp các sản phẩm như bàn ghế, kệ sách, giường ngủ từ một thương hiệu tăng giá, người tiêu dùng có thể chọn mua sản phẩm từ các thương hiệu khác mà vẫn đảm bảo được nhu cầu sử dụng và phong cách nội thất.
  • Thực phẩm đóng gói phổ thông: Các sản phẩm như mì gói, bánh kẹo. Nếu một thương hiệu tăng giá, người tiêu dùng có thể dễ dàng chuyển sang các thương hiệu khác với giá thấp hơn mà không bị ảnh hưởng nhiều về chất lượng hoặc hương vị.

Những sản phẩm này có cầu co giãn hoàn toàn vì sự cạnh tranh cao và khả năng thay thế dễ dàng trên thị trường. Khi giá tăng, người tiêu dùng có thể ngay lập tức chuyển sang lựa chọn khác mà không gặp phải nhiều khó khăn.

Như vậy, thông qua các ví dụ và cách phân loại, các bạn cũng có thể thấy rõ sự khác biệt trong cách thức phản ứng của người tiêu dùng đối với biến động giá, từ đó làm nổi bật vai trò quan trọng của việc hiểu rõ hệ số co giãn của cầu theo giá.

Ý nghĩa của hệ số co giãn của cầu theo giá

Một số ý nghĩa của hệ số co giãn của cầu theo giá gồm:

  • Tối ưu hóa doanh thu, lợi nhuận từ hoạt động sản xuất, kinh doanh của doanh nghiệp.
  • Giúp nhà quản lý ước tính tổng doanh thu tối ưu nhất, từ đó có thể ra quyết định chính xác nên tăng/ giảm/ giữ nguyên giá của sản phẩm, thu hẹp hay mở rộng quy mô sản xuất.
  • Giảm thiểu tối đa lượng hàng hóa dư thừa trên thị trường đối với tổng thể nền kinh tế.
  • Cung cấp những thông tin quan trọng về hành vi của đối tượng khách hàng mục tiêu, giúp doanh nghiệp tối đa hóa lợi nhuận.
Ý nghĩa của hệ số co giãn của cầu theo giá

Ứng dụng hệ số co giãn của cầu theo giá

Thông qua việc phản ánh rõ nét sự nhạy cảm giữa thị giá và lượng cầu, các doanh nghiệp có thể ứng dụng độ co giãn của cầu cho các mục tiêu như:

  • Xác định tổng doanh thu: Doanh nghiệp có thể xác định được tổng doanh thu, mức lợi nhuận tối ưu nếu tính toán được hệ số co giãn của cầu và giá. Từ đó, nhà quản lý doanh nghiệp có thể xây dựng chiến lược kinh doanh hợp lý dựa trên chủng loại, đặc tính của hàng hóa.
  • Định giá hàng hóa khi thị trường có biến động: Độ co giãn của một hàng hóa, dịch vụ thường ít thay đổi theo thời gian. Do vậy, hệ số co giãn của cầu có thể giúp doanh nghiệp dự đoán giá một số loại hàng hóa khi thị trường xảy ra những biến động bất thường. Chẳng hạn như thời gian gần đây, biến động của giá xăng được ước tính lên tới 120 USD/ thùng.
Ứng dụng hệ số co giãn của cầu theo giá
  • GDP của nền kinh tế: GDP (Gross Domestics Product) là tổng sản phẩm quốc nội mà một quốc gia có thể sản xuất được trong một thời kỳ. Hệ số co giãn cầu tác động rất lớn đến GDP của một quốc gia bởi nó ảnh hưởng trực tiếp lên hai yếu tố chính của GDP: giá và sản lượng. Chẳng hạn, những mặt hàng có cầu ít co giãn sẽ khá ổn định trong nền kinh tế thế giới, đặc biệt là những thời kỳ khủng hoảng.

Bài tập độ co giãn của cầu theo giá

Tham khảo ngay câu hỏi bài tập tính hệ số co giãn của cầu theo giá và đáp án chi tiết dưới đây!

Bài tập 1

Nếu sản phẩm có hệ số co giãn theo giá bằng 0 thì nhu cầu của người tiêu dùng đối với sản phẩm được coi là:

  1. Cầu co giãn hoàn toàn.
  2. Cầu hoàn toàn không có giãn.
  3. Cầu co giãn đơn vị.
  4. Cầu không co giãn đơn vị.

Trả lời:

  • Đáp án 1 sai: Vì khi hệ số là ∞ thì cầu mới co giãn hoàn toàn.
  • Đáp án 2 đúng: Vì khi hệ số co giãn của một sản phẩm tính được nhỏ hơn 1 thì cầu không co giãn. Khi trị giá co giãn của cầu theo giá bằng 0 thì cầu hoàn toàn không co giãn.
  • Đáp án 3 sai: Vì cầu co giãn đơn vị khi hệ số chính xác bằng 1.
  • Đáp án 4 sai: Bởi đây là thuật ngữ vô nghĩa.
Bài tập độ co giãn của cầu theo giá

Bài tập 2

Trong lĩnh vực công nghiệp dược phẩm, bệnh nhân bị tiểu đường phải có insulin với bất kể giá bao nhiêu và hoàn toàn không có chất thay thế. Khi đó, đường cầu của một bệnh nhân tiểu đường được coi là:

  1. Cầu co giãn hoàn toàn.
  2. Cầu hoàn toàn không có giãn.
  3. Cầu co giãn tương đối theo giá.
  4. Cầu co giãn ít.

Trả lời:

  1. Đáp án 1 sai: Vì cầu được coi là co giãn hoàn toàn khi một sản phẩm có rất nhiều người mua và người bán, không ai có thể tác động đến giá cả. Ở thị trường này, tất cả người dùng có thể mua bao nhiêu tùy thích miễn là họ mua theo giá thị trường. Đồng thời, tất cả người bán có thể bán bao nhiêu tùy thích, miễn là họ tính dựa trên thị giá chung. Khi này, đồ thị được minh họa như một đường nằm ngang.
  2. Đáp án 2 đúng: Vì khi người mua có nhu cầu cao với một sản phẩm nhất định đến mức họ có thể trả bất cứ giá nào và không có bất cứ sản phẩm thay thế nào thì nhu cầu được xem là cầu hoàn toàn không co giãn. Khi này đồ thị minh họa được mô tả như một đường thẳng đứng, đúng với tình trạng người bán và người mua thuốc trị tiểu đường đang gặp phải.
  3. Đáp án 3 sai: Vì cầu co giãn tương đối theo giá chỉ khi một tỷ lệ phần trăm thay đổi nhất định về giá gây ra nhiều thay đổi lớn hơn của cầu.
  4. Đáp án 4 sai: Vì cầu về insulin của bệnh nhân hoàn toàn không co giãn chứ không chỉ kém có giãn.

Câu hỏi thường gặp

Cách xác định hệ số co giãn của cầu theo giá?

Hệ số co giãn của cầu theo giá được xác định bằng cách chia tỷ lệ của phần trăm giữa thay đổi trong sản lượng và phần trăm của thay đổi trong giá bán.

Ví dụ: Một chiếc áo được bán với giá 10 USD. Khi giá tăng 20%, tức là lên 12 USD, số lượng bán ra giảm 40%. Điều này có nghĩa là hệ số co giãn của cầu với giá của chiếc áo là 2 (40% / 20%).

Hệ số co giãn của cầu theo giá có thay đổi theo thời gian hay không?

, độ co giãn của cầu theo giá có thể thay đổi theo thời gian. Điều này bị ảnh hưởng bởi các yếu tố như môi trường kinh doanh, sự thay đổi công nghệ, và thói quen hoặc hành vi của người tiêu dùng.

Sự co giãn của cầu theo giá có giống nhau đối với mọi loại sản phẩm không?

Không, độ co giãn của cầu theo giá có thể khác nhau đổi với những sản phẩm khác nhau. Ví dụ về hệ số co giãn của cầu và giá ở một số sản phẩm sẽ thấp hơn so với một số mặt hàng khác.

Trên đây, Tamnhindautu đã cung cấp toàn bộ thông tin chi tiết về độ co giãn của cầu theo giá từ khái niệm, công thức, phương pháp tính toán đến phân loại và ý nghĩa.

Việc hiểu rõ độ co giãn của cầu là gì và cách nó tác động đến thị trường giúp doanh nghiệp dự đoán chính xác phản ứng của người tiêu dùng trước những thay đổi về giá cả.

Từ đó, doanh nghiệp có thể đưa ra các chiến lược kinh doanh và sản xuất phù hợp nhất, đảm bảo tối ưu hóa lợi nhuận và duy trì sức cạnh tranh trên thị trường. Đừng quên áp dụng kiến thức về độ co giãn của cầu theo giá trong việc điều chỉnh giá cả để đạt được hiệu quả tối đa cho doanh nghiệp của bạn.

Xem thêm

Liên quan